近期,我校商学院行为科学与政策协同创新团队吴金南教授与池州学院梅文娟博士、西班牙西班牙拉斯帕尔马斯大学PabloZoghbi-Manrique-de-Lara教授合作,揭示了职场领导宽容行为引发员工负面连锁反应的心理机制与边界条件,相关成果发表在享有国际盛誉的FT-50期刊《Journal of Business Ethics》。我校为论文通讯单位,吴金南教授为唯一通讯作者,这是我校首次以通讯单位在FT-50期刊发表高水平论文,对于提升学校国际学术影响力具有重要意义。
领导宽容(leader leniency)指“减轻或免除员工不当行为后果的行为”,长期被视为管理员工失误、修复关系的潜在策略,在工作场所中屡见不鲜。然而,领导对犯错员工的“手下留情”是否总是积极的?以往研究多聚焦于宽容行为对领导(施予者)和犯错员工(受惠者)的影响,但迄今为止尚无研究探讨作为“第三方”的其他员工如何反应。

(Study 1:领导宽容与竞争意识对观察者嫉妒的交互效应)

(Study 2:测量模型的验证性因子分析结果)

(Study 2:结构模型的路径分析结果)
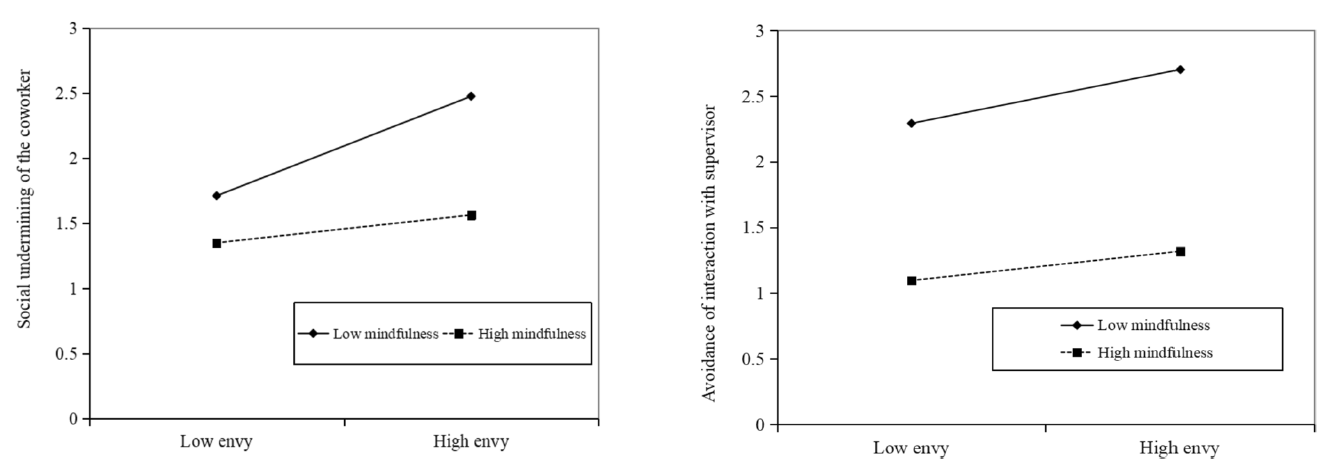
(Study 2:观察者嫉妒与正念对同事社会破坏和领导互动回避的交互效应)

(Study 2:被调节的中介效应分析结果)
团队运用道义理论提出,员工会将领导宽容视为一种相对不公平,从而产生对同事的嫉妒情绪,进而将宽容行为的施予者和受惠者视为造成这种不利局面的责任人。出于道义反应,员工会通过在社交上排挤受青睐的同事以及避免与做出宽容行为的领导互动来做出回应。研究团队在此基础上进一步提出,观察者的竞争意识和正念会调节这些心理与行为反应。开展的两项研究(Study 1为实验室情景模拟实验,Study 2为两阶段实地追踪研究),进一步验证了以上研究模型与假设,即当员工观察到领导对同事表现出宽容时,可能会产生嫉妒情绪,进而引发对同事的“暗中破坏”和对领导的“刻意回避”;当员工竞争心理强且正念水平低时,对同事的社会破坏和对领导的互动回避行为达到顶峰。
此项研究首次从“旁观者视角”深入揭示了领导宽容行为的连锁反应机理及其边界条件,拓展领导宽容研究边界,为理解职场偏差行为提供了新视角,并为工作场所情绪管理(如正念培训)和团队关系优化(如减少过度竞争)提供了理论支持。
《Journal of Business Ethics》杂志是商业和伦理领域的国际顶级期刊,是英国《金融时报》认定的50本全球经管类权威期刊之一,也是中科院大类1区TOP期刊。FT-50(Financial Times 50 Journals)是英国《金融时报》用于全球商学院学术研究排名的顶级期刊榜单,覆盖经济学、战略管理、组织与人力资源、运营管理、信息管理、财务会计、金融等多个领域,与UTD24同为对商学院科研质量排名的重要依据,在国际上具有极高的认可度。
论文链接:https://link.springer.com/article/10.1007/s10551-025-05927-9
(撰稿:章文佩 方琳 审核:吴宣够 张苒 黄敏)